嗨各位
我又來了
和往年一樣 帶著新的愚人節企劃來啦
今年和去年一樣做的是劇情向的遊戲
只不過相較於去年,劇本改為不這麼嚴肅
也加入了美術部門來協助我創作
# 緣起
眾所周知,從 2022 年開始,我每年都會舉辦愚人節企劃
從 2022 年的圖片隱寫術開始、2023 的小型 CTF
2024 年的巴別塔病院文字冒險
到今年 2025 終於邁向了有圖片的視覺小說
並且融合了大量的解謎和劇情
讓喜歡解謎遊戲的玩家絕對會愛不釋手
# 遊戲本體
在往下之前,如果你還沒玩過,可以現在停下來點這裡進去玩
如果沒問題的話,劇情攻略就要開始了喔
# 劇情攻略
基本上全程都是線性劇情
多數關卡也都可以直接選擇放棄
但還是例行性的講解一下各個關卡的設計思路及正設解法
# 序章
純劇情 沒有關卡
# 第一章
僅有對話路線及一個拼圖,拼圖沒有什麼設計,多嘗試幾次就會過了
# 第二章
僅有對話路線,劇情中都有解釋邏輯,多走幾次一定會到
# 第三章
其一:
base64 編碼,從「對話紀錄」可以複製到密文,拿去 Base64 解碼器解碼即可獲得網址
然而這個網址是假的,只要把網址填進去輸入框即可
其二:
與其一相同,使用 Base64 編碼,同樣從「對話紀錄」可以複製到密文
拿去 Base64 解碼器會發現還需要再進行一次解碼,總共需要兩次 B64 解碼
最後的結果仍舊會是一個密文,根據格式可以猜測是凱撒加密
嘗試位移後得出答案為 flag {XXX} 的格式即為正解
# 第四章
其一:

這個關卡的設計其實有點白癡
因為這個關卡的設計是要讓玩家去找出這個 USB 的密碼
然而實際上根本不會有人有耐心的去解楔形文字
第一行代表的是美索不達米亞
第二行代表的是亞述文明
第三行代表的是教皇(大阿卡納塔羅牌第五號)
第四行代表的是室町王朝
將四行的對應字取出來,即為美術教室
其二:

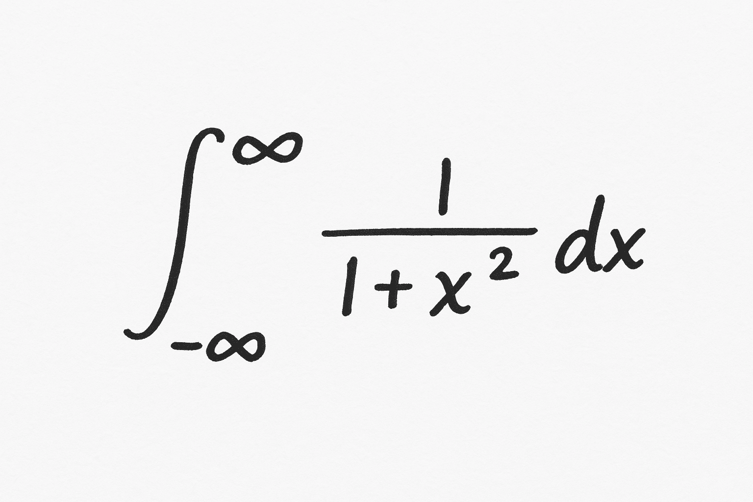
這個是純微積分題,丟進去 WolframAlpha 可以得到答案為 pi
然而密碼的設計是第二位是符號,那唯一的可能性即為 3.14
當然如果你要直接解積分也行啦,就 arctan 函數而已
# 第五章 && 第六章
線索藏在劇情中
告訴玩家要找到水源米亞果和和月有幸在一起的地方
而現實中,這兩個人正好是兩位遊戲的開發者
因此我們在遊戲中一起出現的地方只有選單目錄的「製作名單」頁面
對這個頁面的下方 Hover 約 3 秒就可以獲得密碼了
# 第七章
純劇情關,所有選項點完即可完成
# 設定集
# 工藤彌什
工藤取自名偵探柯南中的工藤新一
彌什是隨便想的
設定上理工生,作者 Miyago 的色違版
# 耶比大熊
名字取自哆啦 A 夢中的野比大雄
設定上是文組生,超級愛吃
# 黒雨筷子
名字取自怪盜小子基德中的基德本名黒羽快斗
筷子是為了讓他搞笑一點,以及為了符合女性才設定的
設定上是喜歡解謎的數理資優班學生,全科都精通
# 你
劇情中的主觀視角
吐槽役,本來是沒有要單獨設定的
而是讓他的戲分分開給工藤和耶比
但由於繪師畫了那就乾脆採用了
設定上是理組的,根據劇情需求變成了一個同樣全科精通的角色
# 製作感想
這次很幸運可以跟繪師和月合作
即便每年我都有持續產出愚人節企劃
但這是我第一次有配合美術做出劇情作品來
我希望明年能夠有更長的時間
做出更不一樣的作品 還請敬請期待啦
